
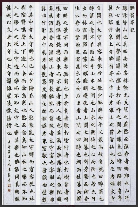
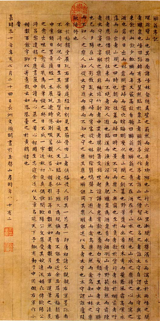
醉翁亭記 - 歐陽脩
環滁皆山也. 其西南諸峯, 林壑尤美.
환저개산야. 기서남제봉, 임학우미.
저주는 산으로 둘러싸여 있다. 그 서남쪽으로는 여러 봉우리가 있고, 숲과 골짜기가 더욱 아름답다.
望之蔚然而深秀者, 琅琊也.
망지울연이심수자, 낭야야.
그것을 바라볼 때 무성한 초목으로 심히 빼어난 것이 낭야산이다.
山行六七里, 漸聞水聲潺潺, 而瀉出於兩峯之間者, 釀泉也.
산행육칠리, 점문수성잔잔, 이사출어양봉지간자, 양천야.
육칠 리 산길을 가면 점차 물소리가 잔잔하게 흐르는 것을 들을 수 있고, 두 봉우리 사이에 물이 흐르는 것은, 양천이라 부른다.
峯回路轉, 有亭翼然, 臨於泉上者, 醉翁亭也.
봉회로전, 유정익연, 임어천상자, 취옹정야.
봉우리를 돌아가는 길을 따라, 한 정자가 날개를 펼친듯한 웅장하게 샘의 위에 임해 있는 것이, 취옹정이다.
作亭者誰. 山之僧智僊也. 名之者誰. 太守自謂也.
작정자수. 산지승지선야. 명지자수. 태수자위야
정자를 지은 것은 누구인가. 낭야산의 승려 지선이다. 그것을 이름 붙인 자는 누구인가. 태수 스스로를 일컬은 것이다.
太守與客來飲於此, 飲少輒醉, 而年又最高, 故自號曰, “醉翁” 也.
태수여객내음어차, 음소첩취, 이년우최고, 고자호왈, "취옹” 야
태수가 손님과 이곳에 함께 와서 술을 마셨는데, 조금을 마셔도 번번이 취하고, 나이는 또 최고령이라서 스스로 호를 붙이길 "취옹"이라 하였다.
醉翁之意不在酒, 在乎山水之間也.
취옹지의부재주, 재호산수지간야.
취옹의 뜻은 술에 있지 않고, 산수지간에 있다.
山水之樂, 得之心而寓之酒也.
산수지락, 득지심이우지주야.
산수의 즐거움은, 그것을 마음에서 체득하여 그것을 술에 기탁하는 것이다.
若夫日出而林霏開, 雲歸而巖穴暝, 晦明變化者, 山間之朝暮也.
약부일출이림비개, 운귀암혈명, 회명변화자, 산간지조모야.
무릇 해가 떠서 숲의 안개가 걷히고, 구름이 모여서 산의 동굴을 어둡게 하는, 어둡고 밝음이 변화하는 것은 산간의 아침저녁이라고 할 수 있다.
野芳發而幽香, 佳木秀而繁陰, 風霜高潔, 水落而石出者, 山間之四時也.
야방발이유향, 가목수이번음, 풍상고결, 수락이석출자, 산간지사시야.
들에는 방초가 피어 그윽한 향기가 있고, 아름다운 나무들이 우거져서 무성한 녹음이 드리고, 바람이 높고 서리가 깨끗하고, 수위가 낮아져서 바위가 드러나는 것, 이것이 산간의 사시이다.
朝而往, 暮而歸, 四時之景不同, 而樂亦無窮也.
조이왕, 모이귀, 사시지경부동, 이락역무궁야.
아침에 왔다가 저녁에 돌아가, 사시의 풍경은 변하지 않아 즐거움 또한 무궁하도다.
至於負者歌於塗, 行者休於樹, 前者呼, 後者應, 傴僂提攜, 往來而不絕者, 滁人遊也.
지어부자가어도, 행자휴어수, 전자호, 후자응, 구루제휴, 왕래이부절자, 저인유야
짐을 진 사람이 길에서 노래 부르고, 길을 가는 사람은 나무에서 쉬고, 앞에서 노래를 부르고 뒤에서 호응하며, 노인들이 아이들을 데리고 다니며 왕래가 끊이지 않으며 저주인이 노니는 것이다.
臨溪而漁, 谿深而魚肥, 釀泉爲酒, 泉香而酒洌. 山肴野蔌, 雜然而前陳者, 太守宴也.
임계이어, 계심이어비. 양천위주, 천향이주열. 산효야속, 잡연이전진자, 태수연야.
시내에 이르러 고기를 잡으면, 물이 깊어 물고기가 살쪄있다. 양천에서 술을 만드니, 샘이 향기로워 술이 맑다. 산의 안주와 들의 채소들이 섞이는 모양이 앞에 늘여놓은 것이 태수가 연을 여는 것이다.
宴酣之樂, 非絲非竹.
연감지락, 비사비죽.
연회를 즐기는 낙은 사죽(악기들)이 만드는 것이 아니다.
射者中, 弈者勝, 觥籌交錯, 起坐而諠譁者, 衆賓懽也.
사자중, 혁자승, 굉주교착, 기좌이훤화자, 중빈환야.
투호하는 가운데, 바둑이나 장기를 두는 사람이 이기고, 술잔의 잔수가 섞여 셀 수 없고, 일어나고 앉으며 시끄럽게 떠드는 자가 있고, 손님 무리가 기뻐하는 것이다.
蒼顏白髮, 頹然乎其間者, 太守醉也.
창안백발, 퇴연호기간자, 태수취야.
여윈 얼굴에 흰머리를 하고, 비틀거리며 그 사이를 가는 것은, 태수가 취한 것이다.
已而夕陽在山, 人影散亂, 太守歸而賓客從也.
이이석양재산, 인영산란, 태수귀이빈객종야
오래지 않아 석양이 산에 걸리고, 사람 그림자가 어지러이 퍼지니, 이것은 태수가 돌아가고 빈객들도 그를 따르는 것이다.
樹林陰翳, 鳴聲上下, 遊人去而禽鳥樂也.
수림음예, 명성상하, 유인거이금조락야.
나무 숲에는 그늘이 드리며 어두워지고, 새소리가 위아래로 있었으니, 이는 유인들이 떠나고 야생의 새들이 즐거워하는 것이다.
然而禽鳥知山林之樂, 而不知人之樂.
연이금조지산림지락, 이부지인지락.
그러나 금조들이 산림의 즐거움을 알아도 사람의 즐거움은 모른다.
人知從太守遊而樂, 而不知太守之樂其樂也.
인지종태수유이락, 이부지태수지락기락야.
사람들은 태수를 따르며 놀며 즐거운 것을 알지만, 태수의 즐거움은 그들이 즐거워하는 모습이라는 것을 모른다.
醉能同其樂, 醒能述以文者, 太守也.
취능동기락, 성능술이문자, 태수야.
취해서 그 즐거움을 같이 할 수 있지만, 술이 깨면 문장으로 쓸 수 있는 자는 태수뿐이다.
太守謂誰. 廬陵歐陽修也.
태수위수. 여릉구양수야.
태수는 누구를 이르는가. 여릉의 구양수이다.
덧. 처음 폭넓게 그려지는 산을 배경으로 하다가 산길 따라 취옹정을 올려보기까지, 글을 따라 시선을 생각해보면 그림 같은 묘사이다. 후반부에는 술자리의 시끄러운 모습에 비틀거리는 왁자지껄함과, 사람이 떠난 후에 새가 우는 것이 대비되는 것도 인상적이다.
♧
《醉翁亭記》(취옹정기)는 중국 북송의 문장가 **구양수(歐陽修)**가 쓴 유명한 기(記)로, 자신의 별호 '취옹(醉翁, 술 취한 늙은이)'을 풀이하며, 아름다운 자연 속에서 술과 함께 즐거움을 찾는 태수(地方官)의 심경과 그곳을 찾는 사람들의 다양한 즐거움을 묘사한 글입니다. 핵심은 "醉翁之意不在酒, 在乎山水之間也 (취옹의 뜻은 술에 있지 않고, 산수 사이에 있다)" 구절로, 표면적인 술 취함이 아닌 자연 속에서의 유유자적함을 즐기는 깊은 뜻을 담고 있습니다.
주요 내용 요약:
배경: 구양수가 滁州(저주) 지사(지방관)로 있을 때 지은 글.
장소: 저주를 둘러싼 아름다운 산과 숲, 특히 낭야산(瑯琊山) 아래의 아름다운 경치에 위치한 '취옹정(醉翁亭)'.
인물: 태수(구양수)와 함께 찾아온 손님들, 산 속 승려, 그리고 사냥꾼들.
주제: 술을 마시며 느끼는 즐거움, 사냥의 즐거움, 그리고 이 모든 것의 근원인 자연(산수)을 즐기는 마음.
핵심 구절: "醉翁之意不在酒, 在乎山水之間也 (취옹의 뜻은 술에 있는 것이 아니라, 산수 사이에 있는 것이다)".
의미: 술에 취한 척하지만, 실제로는 자연과 함께하는 즐거움, 군중(群衆)과 어울리는 즐거움을 누리는 경지.
이 글은 아름다운 산수 묘사와 함께 삶의 여유와 즐거움을 담아내어 오늘날까지도 널리 읽히는 명문입니다.








'一筆♡揮之' 카테고리의 다른 글
| 岳陽樓記 - 范仲淹 (0) | 2025.12.08 |
|---|---|
| 醉翁亭記 2 (1) | 2025.12.08 |
| 秋日湖上 - 薛瑩 (0) | 2025.12.03 |
| 心淸事達 (0) | 2025.12.03 |
| 三日修心千載寶 百年貪物一朝塵 (0) | 2025.12.02 |
댓글